Crystalline surfaces often exhibit reconstructions, usually assumed to affect only a few atomic layers below the surface. A collaborative study (conducted by the Matériaux et Phénomènes Quantiqueslaboratory in Paris, the Institut P’ in Poitiers, and the SixS beamline at SOLEIL) analyzed 14,000 diffraction data from a reconstructed gold surface. The main result: the induced atomic distortions actually extend deep into the crystal bulk, far beyond previous expectations. This discovery could profoundly change how scientists calculate surface properties.
Understanding the atomic structure of crystal surfaces is crucial for many applications. Accurate surface modeling allows researchers to predict growth, catalytic, optical, electronic, or magnetic properties. Until now, it was generally assumed that considering only a few atomic layers beneath a surface was sufficient to describe its structure and energy, even in the case of a reconstruction—where the atomic pattern and periodicity differ from those of the bulk.
A well-known example is the “herringbone” reconstruction of the Au(111) surface, widely used in research but notoriously complex. To simplify the study, researchers from Institut P’ and Matériaux et Phénomènes Quantiques focused on a stepped gold surface, Au(677), which exhibits a simpler reconstruction pattern.
Using grazing-incidence X-ray diffraction under ultra-high vacuum on the SixS beamline at the SOLEIL synchrotron, the team collected an exceptional amount of high-quality data (see Figure 1 for a diffraction image of the reconstructed Au(677) surface).

Figure 1: Diffraction spots from the reconstructed gold surface. The small spots surrounding the main ones correspond to the reconstruction signal.
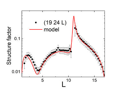
The surface structure—including atomic displacements beneath the surface—can be deduced by analyzing the intensity variations of the diffraction spots, particularly along truncation rods and fractional-order rods (see Figure 2 for a typical fractional-order rod).

Figure 2: Black points represent the intensity of one of the diffraction spots from Figure 1 as a function of the out-of-plane scattering vector. The red curve models this fractional rod, revealing atomic displacements extending deeply into the bulk.
Over more than five consecutive days on the SixS beamline, the researchers measured over 14,000 non-equivalent diffraction spots, grouped into 64 truncation rods and 160 fractional-order rods. The integrated intensity analysis—carried out over several months with strong support from the SixS team—yielded a striking result: the fractional rods show rapid intensity oscillations (see Figure 2). This indicates atomic displacements penetrating at least twenty atomic layers below the surface.
Quantitative modeling of the atomic structure, performed at Institut P’, confirmed this interpretation. Comparing the calculated diffraction patterns with experimental data provided a detailed picture of the strain fields induced by the surface into the bulk. A cross-sectional view (Figure 3) reveals a vortex-like displacement field extending deep below the reconstructed gold surface. Accounting for these displacements significantly improves surface energy calculations and enhances our understanding of surface reconstructions.

Figure 3: Cross-sectional view showing the displacement field of atoms beneath the reconstructed surface compared to an unstrained crystal. The surface is the black line at the top. Arrows indicate the direction and magnitude of atomic displacements. Colors represent vertical displacement intensity: positive (red) or negative (blue).
The next step is to confirm and generalize these findings to other surfaces. The researchers aim to tackle the more complex Au(111) herringbone reconstruction, which remains a benchmark for surface science worldwide. Other iconic surface reconstructions may also be revisited by examining the displacement fields they induce.
This study is expected to stimulate new theoretical and computational work on gold and other reconstructed surfaces. Advances in artificial intelligence now enable more accurate modeling of interatomic potentials in surface simulations. Following this discovery, including at least several dozen atomic layers in such models will become essential for correctly predicting surface properties.
Notes:
1 – Reconstruction refers to the phenomenon where the atomic structure and electronic properties of a surface differ from those of the bulk structure.
2 – In X-ray diffraction from a perfect crystal, the scattered intensity appears as discrete points (Bragg peaks) in reciprocal space, reflecting the periodic atomic planes in the crystal. When the crystal terminates at a surface—i.e., is “truncated”—this periodicity is broken, leading to continuous lines of intensity, called truncation rods, connecting the Bragg points. These rods provide information about the surface geometry and the top atomic layers of the crystal.
When the surface is not simply “truncated” but reconstructed, with a periodicity different from that of the underlying crystal, new periodic patterns appear at the surface. These generate additional diffraction spots, located at fractional positions relative to those arising from the bulk crystal. In reciprocal space, these spots also align into continuous streaks — the so-called fractional-order rods.
Reference of the associated publication:
Structure and strain field of surface dislocations on gold determined by surface x-ray diffraction
V. Repain, J. Durinck, Y. Garreau, A. Coati, Y. Girard, S. Rousset, C. Coupeau, and A. Bellec
Physical Review Letters 134, 236201 (2025).
Contact: Vincent Repain
Laboratoire Matériaux et Phénomènes Quantiques https://mpq.u-paris.fr/
Institut Pprime https://pprime.fr/
À lire aussi

Exhibition – Matériaux et phénomènes illustrés
General public exhibition, free access. At the MPQ laboratory, electronic and photonic chips are designed and manufactured for use in both fundamental research and industrial applications, such as quantum telecommunications and high-precision mechanical sensors.The...

Emergent Equilibrium in All-Optical Single Quantum-Trajectory Ising Machines
A collaboration between the Theory group at MPQ, CREF Rome, and Sapienza University of Rome has shown that multimode all-optical systems driven by two-photon processes can reach thermal equilibrium at the level of single quantum trajectories. The study is published in...

Cavity-enhanced fractional quantum Hall phases and cavity-modified spin splittings
A collaboration between the Equipe Théorie at MPQ and scientists from ETH Zurich and the Flatiron Institute has demonstrated, both theoretically and experimentally, that giant vacuum fields confined in a split-ring resonator cavity can profoundly alter...

On-chip generation of spatial entanglement
The QITE team just published in Phys. Rev. Lett. its work on the generation of spatial entanglement in nonlinear waveguide arrays, in collaboration with C2N and INPHYNI. Combining the generation and manipulation of complex quantum states of light on a single chip is a...